/ דותן גוברמן, M.Sc, ד״ר רמי פוגץ׳ /
רקע
על מנת להתמודד עם מגפה יש צורך בהבנת הגורמים להתפשטותה ונקיטת צעדים לבלימתה. אחת הדרכים הידועות מזה מאה שנה להבנת הדינמיקה של מגיפה היא באמצעות שימוש במודל משוואות קצב ״מחיצתיות״ (compartmental model). מודל מתמטי, או בעברית דגם מתמטי, הינו סט של משוואות שמנסה לתפוס את מהות התופעה אותה הוא רוצה לתאר, תוך ויתור הכרחי על פרטים רבים. בניית מודל מוצלח היא אמנות הפשרה בין הרצון לתאר את מורכבות התופעות שסביבנו אל מול הצורך בהבנתן ועל כן בהפשטתן. ככל שהמודל מכיל יותר פרטים ומורכב יותר, הוא מכיל יותר משתנים. הקשר בין המשתנים השונים לקצב ההשתנות שלהם מתואר באמצעות פרמטרים, כגון קצב ההחלמה הממוצע. פרמטרים אלו יש לשערך באמצעות מדידות, וזאת על מנת לכייל את המודל. על פי רוב, מודלים מורכבים נכשלים בתחזיות מאחר והם מצריכים ידיעת פרמטרים רבים ואלו אינם ידועים בדיוק מספק, אי דיוק בידיעת הפרמטרים עלול (כמו במקרה של מגיפה) לגרום לטעויות של סדרי גודל בתחזית. לפיכך קיימת שאיפה לצמצם את מספר הפרמטרים על מנת להשיג מודל פשוט. מודל פשוט, מאידך, יכול גם הוא לטעות בתחזיות שלו, אם מספר הפרמטרים שבו קטן מדי, מה שהופך את המודל לפשטני מדי על מנת לתאר את המציאות בצורה מדויקת מספיק. אי לכך, בניית מודלים טובים היא אמנות הפשרה. סיכם זאת יפה הסטטיסטיקאי ג׳ורג׳ בוקס – ״כל המודלים שגויים, אך חלקם שימושיים״.
מודל SEIR
מודל SEIR להתפשטות מגיפה מניח שכל אדם נמצא ברגע נתון באחד מבין 4 מצבים אפשריים:
- פגיע (S): אדם שטרם נדבק בנגיף.
- חשוף (E): אדם שנדבק בנגיף אך טרם מדביק אחרים.
- מדבק (I): אדם שמדבק אחרים.
- החלים (R): אדם שהחלים והתחסן לנגיף והוא אינו מדבק.
למודל SEIR יש שלושה פרמטרים עיקריים:
- זמן ממוצע בין הדבקות עוקבות של מדביק.
- זמן הדגירה הממוצע של הנגיף (מרגע ההדבקה ועד לרגע שהאדם מתחיל להיות מדבק).
- משך הזמן הממוצע שאדם מדביק אחרים.
פרמטר חשוב שרבים כבר שמעו עליו הוא מקדם ההדבקה – R0 – כמה אנשים אדם ידביק בממוצע במהלך חלון הזמן בו הוא מדבק. מקדם ההדבקה שווה למשך חלון ההדבקה (הזמן הממוצע שבו אדם מדבק) חלקי הזמן הממוצע בין הדבקות עוקבות.
הנחות המודל
למודל יש הנחות רבות – נציין 2 מהן:
- הנחת הערבוב הטוב – הסיכוי של כל אדם להדביק כל אדם אחר באוכלוסייה זהה.
- הנחת המרקוביות – כל הקצבים במודל קבועים בזמן ולכן העתיד, בהינתן ההווה, אינו תלוי בעבר (בשפה מקצועית – המודל הינו מודל מרקובי).
אף על פי שנראה שהנחת הערבוב הטוב היא הנחה מחמירה, מסתבר שהיא פחות גרועה ממה שנדמה, מאחר ויש דרך לקחת בחשבון את העובדה שאנשים שונים הם בעלי פוטנציאל הדבקה שונה בשל כמות המגעים שלהם. אם, למשל, כל אדם באוכלוסייה נפגש בממוצע עם k אנשים אחרים והרעש בהתפלגות המפגשים בעלי פוטנציאל ההדבקה הוא cv, כלומר, היחס בין רוחב ההתפלגות = סטיית התקן σ לממוצע k הוא cv, מתברר שמקדם ההדבקה האפקטיבי יקבל תיקון שמתכונתי ל- (1+cv2).
אינטואיטיבית, אם כל אדם נגוע נפגש בדיוק עם k>>1 אנשים ביום ומתוכם p אחוזים ידבקו, אז קצב ההדבקה יהיה pk אנשים ליום פר אדם נגוע. אם, לעומת זאת, אדם נפגש עם מספר אקראי k ויש הטרוגניות בהתפלגות המפגשים שמאופיינת על ידי cv, אז קצב ההדבקה יהיה (pk(1+cv2 אנשים ליום פר אדם נגוע. אם ההנחה המרקובית אינה נכונה, יש צורך בתיקון נוסף שקשור ל- cv של התפלגות זמני ההדבקה.
הפרמטר cv מאפשר לנו להעריך את השפעת "הזנב הארוך" של התפלגות המגעים – אנשים בעלי מספר רב של מגעים בעלי פוטנציאל הדבקה ביום. אנשים אלו נקראים גם super-infectors או בעברית ״מדביקי-על״ וכפי שראינו הם בעלי השפעה מכרעת על קצב ההתפשטות של מגיפות.
יש לציין כי מודל SEIR לסוגיו משמש שנים רבות ובהצלחה ככלי למידול של התפשטות מגיפה.
סוגיה נוספת היא סוגיית ״חיסון העדר״. במודל SEIR ניתן לחשב את אחוז האנשים באוכלוסייה שצריכים להיות מחוסנים על מנת שהנגיף לא יוכל להמשיך להתפשט:

מאחר והפרמטר R0 עבור נגיף הקורונה (SARS-cov-2) נמצא בין 2.5 ל- 4 ברוב המדינות, נראה שיש צורך בחיסון של מעל 60% מהאוכלוסייה. יחד עם זאת, כששוקלים את העובדה שלא כל האוכלוסייה באמת חשופה באופן אחיד כפי שמניח המודל, מספר זה יכול להשתנות אם כי בגרפים הטרוגניים עם ״זנב ארוך״ השינוי הצפוי קטן מאוד (מה שקובע זאת הוא ״סף הפרקולציה הקשתית״ – bond percolation threshold, של גרף המגעים בעלי פוטנציאל ההדבקה).
תחזית המודל – גידול מעריכי בקצב החולים המאומתים, החולים במצב קשה והמתים
במודל מחיצתי של התפשטות מגיפה (דוגמת SEIR) הקצב ההתחלתי של עליית החולים הנדבקים הוא מעריכי. כלומר, מספר החולים מכפיל את עצמו בהתחלה כל מספר קבוע של ימים. השפעה של סגר על קצב העלייה מתבטאת בהנחתה של מקדם ההדבקה R0 ולכן ליצירת שינוי בקצב ההכפלה לאחר שיהוי ממוצע מרגע הטלת הסגר ששווה לזמן הדגירה של המחלה. מההנחה הסבירה שאחוז קבוע מהנדבקים יפתח תסמינים קשים ויזדקק לאשפוז, וחלק קבוע מאלו ימות למרבה הצער, נובע שאחוז החולים קשה ואחוז המתים יעלה אף הוא מעריכית בהתחלה, ובאותו הקצב.
הסיבה המרכזית שבעטייה עדיף לעקוב אחר החולים הקשים והמתים ולא אחר מספר החולים המאומתים כבר נידונה רבות אבל מן הראוי להזכירה. כידוע, קיימת מגבלה על מספר הבדיקות ומזה מספר שבועות מספרן אינו גדול ממספר החולים. בנוסף, ישנה הטיה בבחירת הנבדקים לבדיקה וישנם שינויי מדיניות תכופים ואף חוסר היענות להם בשטח. כל אלו, ובעיקר המגבלה על מספר הבדיקות היומי, גורמים לכך שלא ניתן ללמוד הרבה על מספר החולים הכולל מתוך מספר החולים המאומתים היומי. לעומת זאת, מספר החולים הקשים מהווה מדד מהימן, אם כי בשיהוי של בין שבוע לשבועיים למספר החולים האמיתי וזאת משום שרוב מוחלט מקרב מי שנדבק ומפתח חום וקשיי נשימה בסופו של דבר יפנה לקבלת סיוע רפואי ויאובחן כחולה מאומת בקורונה במצב קשה.
מדוע, אם כן, כמות החולים הקשים והמתים בישראל אינה נראית מעריכית אלא יותר דומה לליניארית?
בתקופה האחרונה, מעקב אחר החולים הקשים בישראל מראה כי קצב העלייה בחולים הקשים ובמתים אינו נראה מעריכי אלא מתקדם בצורה ליניארית, כפי שעולה מהתרשים הבא:
על אף הרעש בנתונים, נדמה כי התאמה של קו ישר שמתחיל ב- 18 למרץ מתארת היטב את העלייה במספר החולים הקשים וכי אותו הקו, מוסט ב- 11 יום, מתאר גם את העלייה במספר הנפטרים. מה יכול, אם כן, להסביר זאת?
סברה אפשרית אחת היא שאנחנו באזור של חסינות עדר. לצערנו, הנחה זו אינה סבירה (אם כי אינה ניתנת להפרכה בהיעדר מדידות סרולוגיות). הנתונים מצביעים על מקדם הדבקה שנע בין 2.5 ל- 4 ולכן חסינות עדר פירושה הדבקה של 60% עד 75% מהאוכלוסייה. עבור מספרים כאלה היינו כבר צריכים לראות היצף של מערכת הבריאות, אלא אם, משום מה, ההדבקה הייתה שקטה או שאחוז הפגיעים נמוך משמעותית ממה שאנחנו רואים. כל זאת אפשרי אך לא סביר בעינינו.
ראוי לציין גם שהשיפוע של החולים הקשים מתחיל כמה ימים אחרי ההכרזה על סגירת בתי הספר, הגנים, האוניברסיטאות ומקומות הבילוי (להלן ״הסגר החלקי״) ב- 13 במרץ, ומכיוון שלוקח בין שבוע לשבועיים לפתח תסמינים קשים שמצריכים אשפוז זה אומר שהסיבה לעלייה הליניארית אינה הסגר החלקי ובוודאי שלא הסגר המלא שהוכרזו מאוחר יותר.
ההסבר המתבקש שכמות החולים הקשים היא אחוז מכלל הנדבקים באוכלוסיה הוא בעייתי משום שהקצב ההתחלתי של העלייה במספר החולים המאומתים (כשמספר הבדיקות היה גבוה משמעותית ממספר החולים) עלה מעריכית בקצב של הכפלה כל 3 ימים לערך (ושיקף את הקצב של העלייה בתחלואה בעולם, מאחר וחלק ניכר מהנדבקים היו חוזרים מחו״ל או הדבקות מתיירים). זהו קצב גבוה מדי בהשוואה לקצב העלייה במספר החולים הקשים. לכן, לא נותרת לנו ברירה אלא להניח שקצב העלייה בחולים הקשים איטי מקצב העלייה הכללי בנדבקים. זה מביא אותנו להסבר האפשרי הראשון:
הסבר ראשון – עלייה מעריכית עם קצב הכפלה איטי (אוכלוסיות רגישות בודדו עצמן מהעולם)
ההסבר הראשון שלנו לתופעה הזו הוא שאנשים השייכים לאוכלוסייה פגיעה (בעיקר הורים מבוגרים ואנשים עם מחלות רקע כגון מושתלים, מוחלשים חיסונית וכיו״ב) צמצמו את האינטראקציה שלהם עם האוכלוסייה שמסכנת אותם באופן יזום שהסלים מעריכית עם הזמן עוד לפני החלת הסגר החלקי.
העובדה שאוכלוסיות רגישות רבות מקיימות קשר עם הרכיב המקושר הגדול של רשת ההדבקות באוכלוסייה הכללית רק דרך מגע עם מספר מאוד קטן של אנשים ושאנשים אלו, השייכים לאוכלוסיות הרגישות, צמצמו מגע עם העולם עוד יותר על מנת להגן על עצמם מהדבקה, אומרת שגם כאשר הם נדבקים ההדבקה שלהם היא חד פעמית. שרשור הדבקות, או אפקט ״הריבית דריבית״, לא מתקיים, אם כן, עבור האנשים השייכים לאוכלוסיות הרגישות. לכן, בבואנו למדל רשת שבה יש צמתים שהם יותר פגיעים לנגיף ושהם ממוקמים כ״קודקודים מתדלדלים״ (dangling bonds) עם קישוריות נמוכה לרשת הכללית, עלינו להוסיף זרם זליגה שמתאר את ההדבקה החד פעמית של כל קודקוד כזה. אנו מניחים שחוזק הקישור של הפגיעים עם העולם החיצון דעך מעריכית עם הזמן (עובר הסלמה מעריכית) אולי כתגובה לדיווחים בתקשורת על קצב העלייה במספר הנדבקים ועוד בטרם התחיל הסגר. קיומו של זרם זליגה חד כיווני שדועך מעריכית הוא ההסבר שלנו לעלייה שנראית לינארית ולמעשה היא מעריכית עם קצב נמוך יותר מקצב ההדבקות באוכלוסייה הכללית במספר החולים הקשים.
מכיוון שההדבקה של פגיעים מבודדים מיוזמתם מתרחשת כזליגה שהולכת ודועכת מעריכית מול אוכלוסיית נדבקים שהולכת וגדלה מעריכית, אנחנו מצפים לראות עלייה מעריכית גם במספר החולים הקשים, אבל עם קצב הכפלה שעבר הנחתה משמעותית.. אם קצב העלייה במספר החולים הקשים הוא הכפלה כל שלושה שבועות, הוא יראה לנו ליניארי על פני טווח הזמנים הזמין לנו כרגע. את הסיבה שאנחנו לא רואים שינוי במגמה בעקבות הסגר החלקי אנחנו מייחסים לכך שהמגעים בעלי פוטנציאל הדבקה עם פגיעים התחילו לפני הסגר והמשיכו להסלים יחד עימו. אם הסבר זה הוא נכון, הסגר לא רק שאינו עוזר אלא אף מזיק מאחר והוא מעכב השגת חסינות עדר באוכלוסייה שאינה פגיעה. בהמשך נציע 2 דרכים מעשיות להעמיד למבחן השערה זו.
הסבר שני – עלייה ליניארית ממש (איכונים וחקירות מובילים לבידודים אפקטיביים)
ההסבר השני הינו הסבר חלופי ולפיו העלייה במספר החולים הקשים והמתים היא ליניארית ממש ולא מעריכית עם קצב הכפלה נמוך. בכל יום, עבור כל החולים החדשים שמאומתים כנשאים, מתבצעים איכונים וחקירות לאחור של כל המגעים בעלי פוטנציאל הדבקה שלהם בשבועיים האחרונים, והאנשים שבאו איתם במגע מתבקשים להיכנס לבידוד. ברור שאם בכל יום היינו תופסים את כל הנדבקים בדיעבד, הרי שקצב העלייה של החולים הקשים היה מגיע אך ורק מהמאומתים (כי רק הם חולים). במקרה זה קצב הגידול של החולים במגיפה יהיה ליניארי ולכן גם הקצב של החולים הקשים יהיה ליניארי. אבל מה אם מפספסים חלק? אם מפספסים רק חלק קטן, הרי שגם אם הוא יגדל אקספוננציאלית, הוא לא מספיק לצבור תאוצה ולגדול מעבר לגידול הליניארי ולכן אפקטיבית עדיין נראה עלייה ליניארית במספר החולים הקשים (משום שבשובל הנדבקים יהיו אנשים עם תסמינים שיתגלו ועבורם שוב יתבצעו איכונים וחקירות לאחור).
כיצד ניתן לבחון אם אחת מהחלופות הללו היא ההסבר הנכון?
אם ההסבר הראשון נכון, בימים הקרובים נתחיל לראות סטיות מההתאמה הליניארית ועלייה תלולה יותר בכמות החולים הקשים והמתים. מתוך התאמה של פונקציה מעריכית מוסחת בשני הצירים לנתונים עולה כי זמן ההכפלה האסימפטוטית של החולים הקשים והמתים הוא 21 יום, כלומר הנחתה בערך פי 7 בהשוואה לקצב העלייה הראשוני (לפני הסגר החלקי) של חולים מאומתים. אם הסבר זה נכון, פירוש הדבר שבעוד שלושה שבועות יהיו פי 2 יותר חולים קשים ובעוד 6 שבועות פי 4. אם קצב השחרור של חולים קשים לא יעלה בהתאמה, ישראל עלולה למצוא עצמה בסיטואציה של הצפת מערכת הבריאות.
אם ההסבר השני נכון, נמשיך לראות עלייה ליניארית במספר החולים הקשים ובמתים בימים הקרובים בקצב של כ- 7 חולים קשים ליום. קיימת אפשרות נוספת לבדוק את נכונות ההסבר השני והיא לבחון את אחוז החולים הקשים שהגיעו ״ישר לבית חולים״ מבלי שאותרו קודם לכן. אם מספר זה נמוך משמעותית בהשוואה למקרים קשים שהגיעו מבידוד, הרי שזה חיזוק להסבר השני. בנוסף, אם הסבר זה נכון, פירוש הדבר שיש מעט מאוד חולים לא מאותרים ושאנחנו על סף ההדברה של המגיפה בישראל.
מציאת דרכים להבדיל בין המנגנונים השונים דרך מדידות נוספות חיוני לצורך הבנת התהליך המתרחש בפועל.
בתרשים הסכמטי הבא, המיועד להמחשת הרעיונות, מתוארת מערכת צמתים מאוד מקושרת בינה לבין עצמה (קשתות שחורות), ועם קישוריות נמוכה להורה או שניים (המייצגים אנשים מאוכלוסיות רגישות) שלא מחוברים לאף אחד אחר (קשתות אדומות). בהחלט יתכן שבגרף האמיתי והלא ידוע, גודל הצברים אינו רק הורים בבית, אלא מייצג צבר יותר גדול (למשל הורים בבתי אבות, מוחלשים חיסונית ובעלי מחלות רקע בחיק משפחתם).

סיכום ביניים: על אף שבתוך הרכיב המקושר אנו מצפים לעלייה מעריכית של מספר הנדבקים בנגיף, בכל פעם שקורית הדבקה של צבר פגיע (שמונה אדם אחד או שניים בתרשים), על פי רוב צבר זה לא ממשיך להדביק אחרים מחוץ לצבר המצומצם שלו מאחר והוא מבודד. לכן יש שני סוגי הדבקות – הדבקות ״רגילות״ שעולות מעריכית עם הזמן והדבקות של פגיעים, שעולות מעריכית אך עם אקספוננט נמוך משמעותית בשל הבידוד מרצון – משום שהפגישות איתם קורות בקצב קבוע, ההדבקה היא חד פעמית ולאחריה הנדבק יוצא מהמעגל (או שהוא מבריא או שהוא נהיה קשה ומבריא או שנהיה קשה ומת) אך בכל מקרה לא מדביק הלאה.
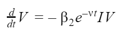
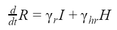
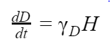
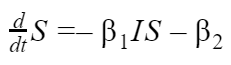
מידול מתמטי של ההסבר הראשון שלנו לתופעה
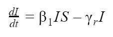
מודל תאי פשוט (ללא תקופת דגירה) שמתאים להסבר הראשון נראה כך (V-Vulnerable, D-dead והשאר בהתאם למודל SEIR רגיל):






כאשר קצב ההדבקה של הפגיעים V שווה ל:

קצב ההסלמה של הבידוד היזום של הפגיעים שווה ל- v,
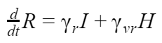
קצב ההחלמה של החולים קשה H הוא:

קצב המיתה של החולים קשה הוא:

מספר המתים הוא D .
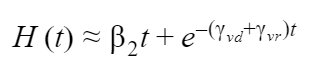
מספר החולים קשה כתלות בזמן בהתחלה הוא:

כאשר ההפרש בין קצב הגידול של הנדבקים לקצב שבו הונחתו המפגשים של הפגיעים עם כלל האוכלוסייה הוא:

מידול מתמטי של ההסבר השני שלנו לתופעה
מודל המתאים להסבר השני :





ועבורו (בהתחלה):

לפי התאמה למספר החולים הקשים (הסבר ראשון) קצב ההכפלה של הפגיעים הוא הכפלה כל 21 ימים:

לעומת זאת, התאמה ליניארית (הסבר שני) חוזה שמספר החולים הקשים עולה בכמות קבועה בכל יום ושווה לעלייה של כ-7 חולים קשים בכל יום בישראל.

נציין ששינוי מדיניות שמוביל לריכוז מספר רב של בני משפחה בדירה מצומצמת עלול להביא להאצת קצב ההדבקה של הפגיעים, אם הוא העלה אפקטיבית את הקישוריות של הפגיעים ואת העומס הויראלי.
סיכום
על פי המודל המוצע האנשים הפגיעים באוכלוסייה בודדו את עצמם עוד לפני הסגרים ומידת בידודם הלכה והתגברה מעריכית יחד עם הגברת הסגר. בנוסף, אם וכאשר הם נדבקים על ידי מפגש מקרי עם נדבק, הם נדבקים ויוצאים מהמשחק (לא ממשיכים להדביק אחרים למעט, אולי, את בני/בנות זוגם). הסבר חלופי הוא שהעקיבה אחר חזית ההדבקות באמצעות איכונים וחקירות לאחור תופסת את רוב ההדבקות.
במידה וההסבר הראשון נכון (עלייה מעריכית בקצב נמוך), נדע זאת בשבוע הקרוב. אם הסבר זה נכון, המצב לא טוב מבחינת העומס הצפוי על מערכת הבריאות. קצב עלייה זה על אף היותו מתון, לא מבודד מספיק טוב את הפגיעים מחד ומאידך פוגע אנושות במשק. במקרה זה מדיניות בידוד אגרסיבית של איתור בידוד ועזרה לפגיעים היא, לדעתנו, הפתרון המועדף, המשך הסגר במקרה זה אינו פתרון מספיק טוב מאחר והוא מעכב היווצרות חיסון עדר מבלי להשפיע מספיק חזק על הירידה במספר החולים הקשים. אם ההסבר השני נכון (עלייה ליניארית), הסיכון בהסרת הסגר נמוך יותר משמעותית. במקרה זה, ניתן, ככל הנראה, להדביר את המגיפה על ידי בידוד מסדר גבוהה יותר – כלומר לאכן לאחור את המגעים בעלי פוטנציאל הדבקה של אלו שבאו במגע עם מאותר חדש ולבודד גם אותם.
בכל מקרה הסרת הסגר צריכה להיות הדרגתית תוך המשך הנחיית הציבור על שמירה על כללי היגיינה (מסכות/כפפות במרחב הציבורי) ולאסור התקהלויות גדולות. לאחר מכן ניתן לעשות הערכת מצב בקפיצות של כ- 10 ימים ולהחליט אם ממשיכים, מקלים או מחמירים חזרה בהתאם לשינוי בעלייה במספר החולים הקשים והמתים.
כך או כך, השבוע הקרוב יהיה מאוד חשוב ומעקב אחר מספר החולים הקשים צפוי להבהיר מה המגמה המסתמנת ולאורה האם כדאי להוריד את הסגר ומה מידת הסכנה בהרווית מערכת הבריאות בחולים קשים.
הפוסט נכתב על ידי ד"ר רמי פוגץ' ודותן גוברמן, M.Sc, רמי פוגץ' הוא מרצה בכיר במחלקה להנדסת תעשייה וניהול באוניברסיטת בן גוריון, ועמית מחקר במכון לפיזיקה תיאורטית בטרייסט, איטליה, לשעבר חוקר במפא״ת/חק״ב. דותן גוברמן הוא פיזיקאי בחברת Satixfy בעל רקע נרחב במגוון תחומים בתעשיית ההיי-טק. רמי פוגץ׳ מתמחה בפיזיקה של מערכות מורכבות, ביולוגיה מערכתית ובחקר ביצועים של מערכות ביולוגיות. דותן גוברמן מתמחה בפיזיקה של מצב מעובה ואלגוריתמים לעיבוד אותות אקראיים. המחברים מודים לפרופ' יורם לוזון, לד"ר עמית רכבי ולעומר קורן וכן לחברי הפורום על הערותיהם המועילות. מחקר זה מתפרסם בשיתוף צוות מחקר ו- AI שפועל מטעם מפא"ת.

אתם חייבים להיות מחוברים על מנת לשלוח תגובה.